Главная / Готовые домашние задания (ГДЗ) / 3 класс / Математика / Моро, Бантова


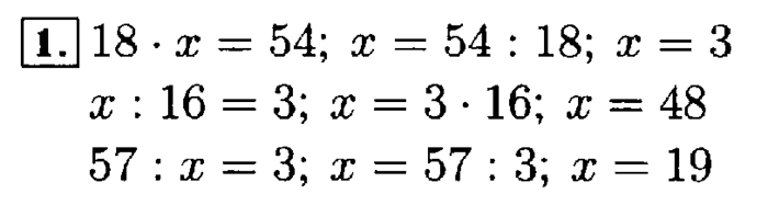
Ответ на Страница №20 Задача: 1
Готовые домашние задания (ГДЗ) Математика Моро, Бантова 3 класс

учебник: часть 1, часть 2, Моро, Бантова, 2015

Математика

3 класс

Автор: Моро, Бантова

Изд.: Просвещение

Год: 2015

<< Предыдущее Вернуться к списку Следующее >>
учебник: часть 1, часть 2, Моро, Бантова, 2015