Главная / Готовые домашние задания (ГДЗ) / 3 класс / Математика / Моро, Бантова
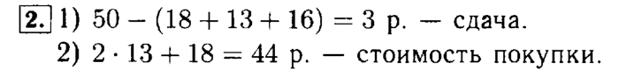
Ответ на Странички для любознательных Задача: 2
Готовые домашние задания (ГДЗ) Математика Моро, Бантова 3 класс
Математика
3 класс
Автор: Моро, Бантова
Изд.: Просвещение
Год: 2015
| << Предыдущее Вернуться к списку Следующее >> |