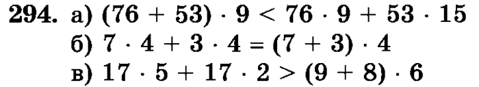
Главная / Готовые домашние задания (ГДЗ) / 3 класс / Математика / Истомина / задание: 294


Ответ на задание: 294
Готовые домашние задания (ГДЗ) Математика Истомина 3 класс

рабочая тетрадь: часть 1, часть 2, Истомина, 2015

Математика

3 класс

рабочая тетрадь: часть 1, часть 2

Автор: Истомина

Изд.: ФГОС

Год: 2015

<< Предыдущее Вернуться к списку Следующее >>
рабочая тетрадь: часть 1, часть 2, 3 класс, Истомина, 2015, задание: 294