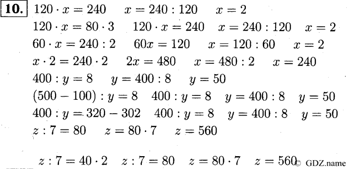
Главная / Готовые домашние задания (ГДЗ) / 3 класс / Математика / Демидова, Козлова / Арифметические действия над числами. Сложение и вычитание (стр. 65) Задание: 10


Ответ на Арифметические действия над числами. Сложение и вычитание (стр. 65) Задание: 10
Готовые домашние задания (ГДЗ) Математика Демидова, Козлова 3 класс

учебник: часть 1, часть 2, часть 3, Демидова, Козлова, 2015

Математика

3 класс

учебник: часть 1, часть 2, часть 3

Автор: Демидова, Козлова

Изд.: БАЛАСС

Год: 2015

<< Предыдущее Вернуться к списку Следующее >>
учебник: часть 1, часть 2, часть 3, 3 класс, Демидова, Козлова, 2015, Арифметические действия над числами. Сложение и вычитание (стр. 65) Задание: 10