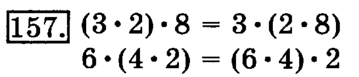
Главная / Готовые домашние задания (ГДЗ) / 3 класс / Математика / Рудницкая, Юдачева / Рабочая тетрадь. Часть 1 Задача: 157


Ответ на Рабочая тетрадь. Часть 1 Задача: 157
Готовые домашние задания (ГДЗ) Математика Рудницкая, Юдачева 3 класс

рабочая тетрадь: часть 1, часть 2, Рудницкая, Юдачева, 2013

Математика

3 класс

рабочая тетрадь: часть 1, часть 2

Автор: Рудницкая, Юдачева

Изд.: Вентана-Граф

Год: 2013

<< Предыдущее Вернуться к списку Следующее >>
рабочая тетрадь: часть 1, часть 2, 3 класс, Рудницкая, Юдачева, 2013, Рабочая тетрадь. Часть 1 Задача: 157