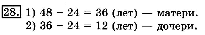
Главная / Готовые домашние задания (ГДЗ) / 3 класс / Математика / Рудницкая, Юдачева / Вычитание Задание: 28


Ответ на Вычитание Задание: 28
Готовые домашние задания (ГДЗ) Математика Рудницкая, Юдачева 3 класс

учебник: часть 1, часть 2, Рудницкая, Юдачева, 2013

Математика

3 класс

учебник: часть 1, часть 2

Автор: Рудницкая, Юдачева

Изд.: Вентана-Граф

Год: 2013

<< Предыдущее Вернуться к списку Следующее >>
учебник: часть 1, часть 2, 3 класс, Рудницкая, Юдачева, 2013, Вычитание Задание: 28