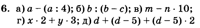
Главная / Готовые домашние задания (ГДЗ) / 3 класс / Математика / Петерсон / Урок №6. Деление на однозначное число Задача: 6


Ответ на Урок №6. Деление на однозначное число Задача: 6
Готовые домашние задания (ГДЗ) Математика Петерсон 3 класс

учебник: часть 1, часть 2, часть 3, Петерсон, 2013

Математика

3 класс

учебник: часть 1, часть 2, часть 3

Автор: Петерсон

Изд.: Ювента

Год: 2013

<< Предыдущее Вернуться к списку Следующее >>
учебник: часть 1, часть 2, часть 3, 3 класс, Петерсон, 2013, Урок №6. Деление на однозначное число Задача: 6