Главная / Готовые домашние задания (ГДЗ) / 3 класс / Математика / Моро, Волкова / Рабочая тетрадь. Часть 1, Числа от 1 до 100, Умножение и деление, Задание: 197


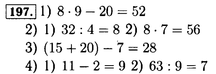
Ответ на Рабочая тетрадь. Часть 1, Числа от 1 до 100, Умножение и деление, Задание: 197
Готовые домашние задания (ГДЗ) Математика Моро, Волкова 3 класс

Рабочая тетрадь: часть 1, часть 2, Моро, Волкова, 2015

Математика

3 класс

Рабочая тетрадь: часть 1, часть 2

Автор: Моро, Волкова

Изд.: Просвещение

Год: 2015

<< Предыдущее Вернуться к списку Следующее >>
Рабочая тетрадь: часть 1, часть 2, 3 класс, Моро, Волкова, 2015, Рабочая тетрадь. Часть 1, Числа от 1 до 100, Умножение и деление, Задание: 197