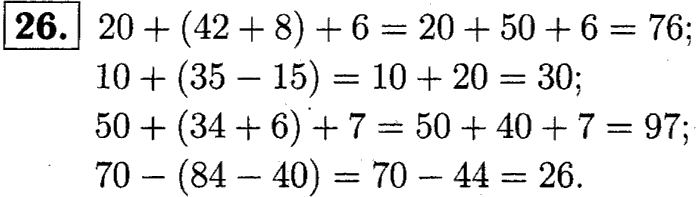
Главная / Готовые домашние задания (ГДЗ) / 2 класс / Математика / Моро, Бантова, Бельтюкова / Учебник. Часть 2. Что узнали. Чему научились Задача: 26


Ответ на Что узнали. Чему научились Задача: 26
Готовые домашние задания (ГДЗ) Математика Моро, Бантова, Бельтюкова 2 класс

1, 2 Часть учебник и Проверочные работы, Моро, Бантова, Бельтюкова, 2015

Математика

2 класс

1, 2 Часть учебник и Проверочные работы

Автор: Моро, Бантова, Бельтюкова

Изд.: Просвещение

Год: 2015

<< Предыдущее Вернуться к списку Следующее >>
1, 2 Часть учебник и Проверочные работы, 2 класс, Моро, Бантова, Бельтюкова, 2015, Что узнали. Чему научились Задача: 26