Главная / Готовые домашние задания (ГДЗ) / 2 класс / Математика / Петерсон Л. Г / Учебник. Часть 2, Урок №5 Задание: 11


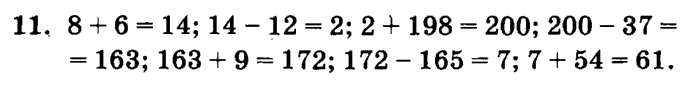
Ответ на Учебник. Часть 2, Урок №5 Задание: 11
Готовые домашние задания (ГДЗ) Математика Петерсон Л. Г 2 класс

1, 2, 3 часть, Петерсон Л. Г, 2010 - 2015

Математика

2 класс

1, 2, 3 часть

Автор: Петерсон Л. Г

Изд.: Ювента

Год: 2010 - 2015

<< Предыдущее Вернуться к списку Следующее >>
1, 2, 3 часть, 2 класс, Петерсон Л. Г, 2010 - 2015, Учебник. Часть 2, Урок №5 Задание: 11