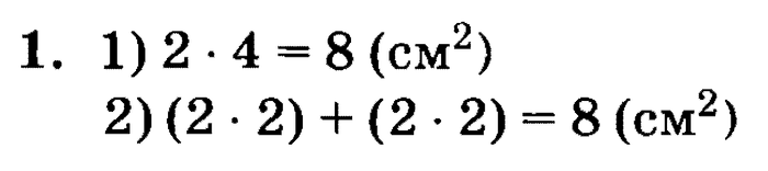
Главная / Готовые домашние задания (ГДЗ) / 2 класс / Математика / Петерсон Л. Г / Выпуск 2/2. Часть 2. Самостоятельная работа к урокам 25-26 Задание: 1


Ответ на Выпуск 2/2. Часть 2. Самостоятельная работа к урокам 25-26 Задание: 1
Готовые домашние задания (ГДЗ) Математика Петерсон Л. Г 2 класс

1, 2, 3 часть, Петерсон Л. Г, 2010 - 2015

Математика

2 класс

1, 2, 3 часть

Автор: Петерсон Л. Г

Изд.: Ювента

Год: 2010 - 2015

<< Предыдущее Вернуться к списку Следующее >>
1, 2, 3 часть, 2 класс, Петерсон Л. Г, 2010 - 2015, Выпуск 2/2. Часть 2. Самостоятельная работа к урокам 25-26 Задание: 1