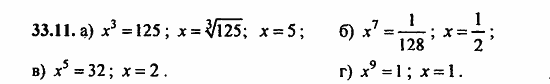
Главная / Готовые домашние задания (ГДЗ) / 11 класс / Алгебра / А.Г. Мордкович / Глава 6. Степени и корни. Степенные функции, § 33 Понятие корня n-й степени действительного числа Задание: 33.11


Ответ на Глава 6. Степени и корни. Степенные функции, § 33 Понятие корня n-й степени действительного числа Задание: 33.11
Готовые домашние задания (ГДЗ) Алгебра А.Г. Мордкович 11 класс

ГДЗ Алгебра и начала анализа. Задачник, А.Г. Мордкович, 2011

Алгебра

11 класс

Алгебра и начала анализа. Задачник

Автор: А.Г. Мордкович

Изд.: Мнемозина

Год: 2011

<< Предыдущее Вернуться к списку Следующее >>
ГДЗ Алгебра и начала анализа. Задачник, 11 класс, А.Г. Мордкович, 2011, Глава 6. Степени и корни. Степенные функции, § 33 Понятие корня n-й степени действительного числа Задание: 33.11