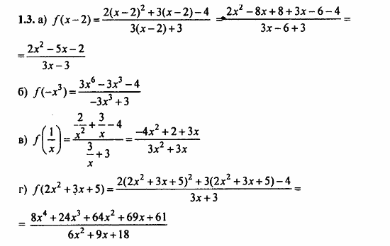
Главная / Готовые домашние задания (ГДЗ) / 11 класс / Алгебра / А.Г. Мордкович / Глава 1. Числовые функции, § 1 Определение числовой функции и способы ее задания Задание: 1.3


Ответ на Глава 1. Числовые функции, § 1 Определение числовой функции и способы ее задания Задание: 1.3
Готовые домашние задания (ГДЗ) Алгебра А.Г. Мордкович 11 класс

ГДЗ Алгебра и начала анализа. Задачник, А.Г. Мордкович, 2011

Алгебра

11 класс

Алгебра и начала анализа. Задачник

Автор: А.Г. Мордкович

Изд.: Мнемозина

Год: 2011

<< Предыдущее Вернуться к списку Следующее >>
ГДЗ Алгебра и начала анализа. Задачник, 11 класс, А.Г. Мордкович, 2011, Глава 1. Числовые функции, § 1 Определение числовой функции и способы ее задания Задание: 1.3