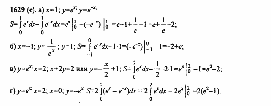
Главная / Готовые домашние задания (ГДЗ) / 11 класс / Алгебра / А.Г. Мордкович / § 47. Дифференцирование показательной и логарифмической функций Задание: 1629(с)


Ответ на § 47. Дифференцирование показательной и логарифмической функций Задание: 1629(с)
Готовые домашние задания (ГДЗ) Алгебра А.Г. Мордкович 11 класс

ГДЗ Алгебра и начала анализа. Задачник, А.Г. Мордкович, 2011

Алгебра

11 класс

Алгебра и начала анализа. Задачник

Автор: А.Г. Мордкович

Изд.: Мнемозина

Год: 2011

<< Предыдущее Вернуться к списку Следующее >>
ГДЗ Алгебра и начала анализа. Задачник, 11 класс, А.Г. Мордкович, 2011, § 47. Дифференцирование показательной и логарифмической функций Задание: 1629(с)