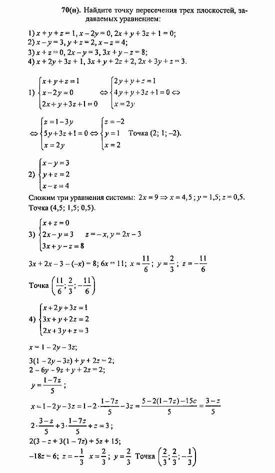
Главная / Готовые домашние задания (ГДЗ) / 11 класс / Геометрия / Погорелов / §4. Декартовы координаты и векторы в пространстве Задача: 70н


Ответ на §4. Декартовы координаты и векторы в пространстве Задача: 70н
Готовые домашние задания (ГДЗ) Геометрия Погорелов 11 класс

Геометрия, Погорелов, 2010-2012

Геометрия

11 класс

Автор: Погорелов

Изд.: Просвещение

Год: 2010-2012

<< Предыдущее Вернуться к списку Следующее >>
Геометрия, 11 класс, Погорелов, 2010-2012, §4. Декартовы координаты и векторы в пространстве Задача: 70н