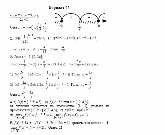
Главная / Готовые домашние задания (ГДЗ) / 11 класс / Алгебра / Дорофеев, Муравин / Раздел 1. Задания 1-5 для экзаменов "Математика" и "Алгебра и начало анализа" Задание: 77


Ответ на Раздел 1. Задания 1-5 для экзаменов "Математика" и "Алгебра и начало анализа" Задание: 77
Готовые домашние задания (ГДЗ) Алгебра Дорофеев, Муравин 11 класс

Сборник заданий, Дорофеев, Муравин, 2008

Алгебра

11 класс

Сборник заданий

Автор: Дорофеев, Муравин

Изд.: Дрофа

Год: 2008

<< Предыдущее Вернуться к списку Следующее >>
Сборник заданий, 11 класс, Дорофеев, Муравин, 2008, Раздел 1. Задания 1-5 для экзаменов