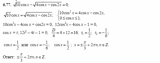
Главная / Готовые домашние задания (ГДЗ) / 11 класс / Алгебра / Дорофеев, Муравин / Раздел 6. Задания 9-10 для экзамена "Алгебра и начало анализа" Задание: 6_77


Ответ на Раздел 6. Задания 9-10 для экзамена "Алгебра и начало анализа" Задание: 6_77
Готовые домашние задания (ГДЗ) Алгебра Дорофеев, Муравин 11 класс

Сборник заданий, Дорофеев, Муравин, 2008

Алгебра

11 класс

Сборник заданий

Автор: Дорофеев, Муравин

Изд.: Дрофа

Год: 2008

<< Предыдущее Вернуться к списку Следующее >>
Сборник заданий, 11 класс, Дорофеев, Муравин, 2008, Раздел 6. Задания 9-10 для экзамена