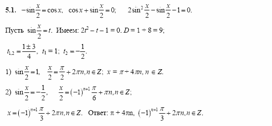
Главная / Готовые домашние задания (ГДЗ) / 11 класс / Алгебра / Дорофеев, Муравин / Раздел 5. Задания 8 для экзамена "Алгебра и начало анализа" Задание: 5_1


Ответ на Раздел 5. Задания 8 для экзамена "Алгебра и начало анализа" Задание: 5_1
Готовые домашние задания (ГДЗ) Алгебра Дорофеев, Муравин 11 класс

Сборник заданий, Дорофеев, Муравин, 2008

Алгебра

11 класс

Сборник заданий

Автор: Дорофеев, Муравин

Изд.: Дрофа

Год: 2008

<< Предыдущее Вернуться к списку Следующее >>
Сборник заданий, 11 класс, Дорофеев, Муравин, 2008, Раздел 5. Задания 8 для экзамена