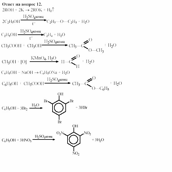
Главная / Готовые домашние задания (ГДЗ) / 11 класс / Химия / Гузей, Суровцева / § 37.3 Задача: 12


Ответ на § 37.3 Задача: 12
Готовые домашние задания (ГДЗ) Химия Гузей, Суровцева 11 класс

Химия, Гузей, Суровцева, 2002-2013

Химия

11 класс

Автор: Гузей, Суровцева

Изд.: Дрофа

Год: 2002-2013

<< Предыдущее Вернуться к списку Следующее >>
Химия, 11 класс, Гузей, Суровцева, 2002-2013, § 37.3 Задача: 12