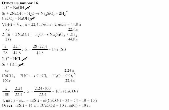
Главная / Готовые домашние задания (ГДЗ) / 11 класс / Химия / Габриелян, Лысова / § 19 Задача: 16


Ответ на § 19 Задача: 16
Готовые домашние задания (ГДЗ) Химия Габриелян, Лысова 11 класс

Химия, Габриелян, Лысова, 2002-2013

Химия

11 класс

Автор: Габриелян, Лысова

Изд.: Дрофа

Год: 2002-2013

<< Предыдущее Вернуться к списку Следующее >>
Химия, 11 класс, Габриелян, Лысова, 2002-2013, § 19 Задача: 16