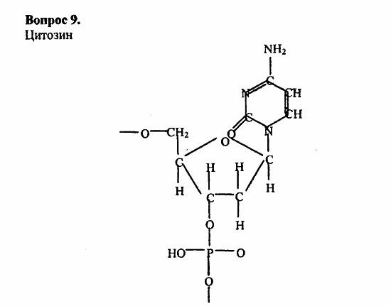
Главная / Готовые домашние задания (ГДЗ) / 11 класс / Химия / Л.А.Цветков / 11. Белки. Нуклеиновые кислоты, § 45. Нуклеиновые кислоты Задача: 9


Ответ на 11. Белки. Нуклеиновые кислоты, § 45. Нуклеиновые кислоты Задача: 9
Готовые домашние задания (ГДЗ) Химия Л.А.Цветков 11 класс

Химия, Л.А.Цветков, 2006-2013

Химия

11 класс

Автор: Л.А.Цветков

Изд.: Гуманит

Год: 2006-2013

<< Предыдущее Вернуться к списку Следующее >>
Химия, 11 класс, Л.А.Цветков, 2006-2013, 11. Белки. Нуклеиновые кислоты, § 45. Нуклеиновые кислоты Задача: 9