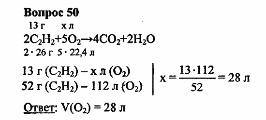
Главная / Готовые домашние задания (ГДЗ) / 11 класс / Химия / Л.А.Цветков / 3. Непредельные углеводороды, § 16. Ацетилен и его гомологи Задача: 50


Ответ на 3. Непредельные углеводороды, § 16. Ацетилен и его гомологи Задача: 50
Готовые домашние задания (ГДЗ) Химия Л.А.Цветков 11 класс

Химия, Л.А.Цветков, 2006-2013

Химия

11 класс

Автор: Л.А.Цветков

Изд.: Гуманит

Год: 2006-2013

<< Предыдущее Вернуться к списку Следующее >>
Химия, 11 класс, Л.А.Цветков, 2006-2013, 3. Непредельные углеводороды, § 16. Ацетилен и его гомологи Задача: 50