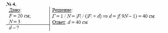
Главная / Готовые домашние задания (ГДЗ) / 11 класс / Физика / Касьянов / § 64 Задача: 4


Ответ на § 64 Задача: 4
Готовые домашние задания (ГДЗ) Физика Касьянов 11 класс

Физика, Касьянов, 2001-2011

Физика

11 класс

Автор: Касьянов

Изд.: Дрофа

Год: 2001-2011

<< Предыдущее Вернуться к списку Следующее >>
Физика, 11 класс, Касьянов, 2001-2011, § 64 Задача: 4