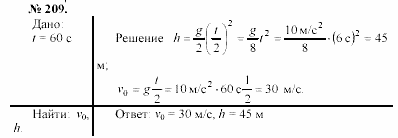
Главная / Готовые домашние задания (ГДЗ) / 11 класс / Физика / А.П.Рымкевич / задание: 209


Ответ на задание: 209
Готовые домашние задания (ГДЗ) Физика А.П.Рымкевич 11 класс

Задачник, А.П.Рымкевич, 2003

Физика

11 класс

Задачник

Автор: А.П.Рымкевич

Изд.: Дрофа

Год: 2003

<< Предыдущее Вернуться к списку Следующее >>
Задачник, 11 класс, А.П.Рымкевич, 2003, задание: 209