Главная / Готовые домашние задания (ГДЗ) / 11 класс / Физика / Рымкевич / задача: 702(697)


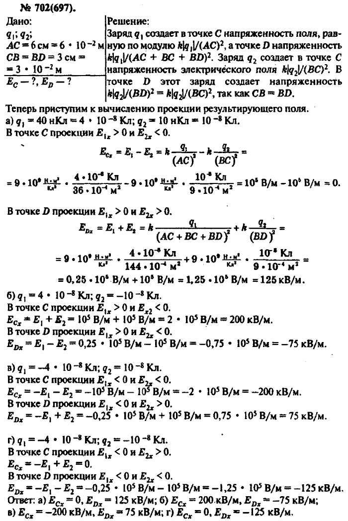
Ответ на задача: 702(697)
Готовые домашние задания (ГДЗ) Физика Рымкевич 11 класс

Задачник, Рымкевич, 2001-2013

Физика

11 класс

Задачник

Автор: Рымкевич

Изд.: Дрофа

Год: 2001-2013

<< Предыдущее Вернуться к списку Следующее >>
Задачник, 11 класс, Рымкевич, 2001-2013, задача: 702(697)