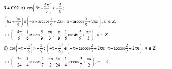
Главная / Готовые домашние задания (ГДЗ) / 11 класс / Алгебра / С.А. Шестакова / задание: 3_4_C02


Ответ на задание: 3_4_C02
Готовые домашние задания (ГДЗ) Алгебра С.А. Шестакова 11 класс

ГДЗ Алгебра и начала анализа: Сборник задач для ГИА, С.А. Шестакова, 2004

Алгебра

11 класс

Алгебра и начала анализа: Сборник задач для ГИА

Автор: С.А. Шестакова

Изд.: Внешсигма

Год: 2004

<< Предыдущее Вернуться к списку Следующее >>
ГДЗ Алгебра и начала анализа: Сборник задач для ГИА, 11 класс, С.А. Шестакова, 2004, задание: 3_4_C02