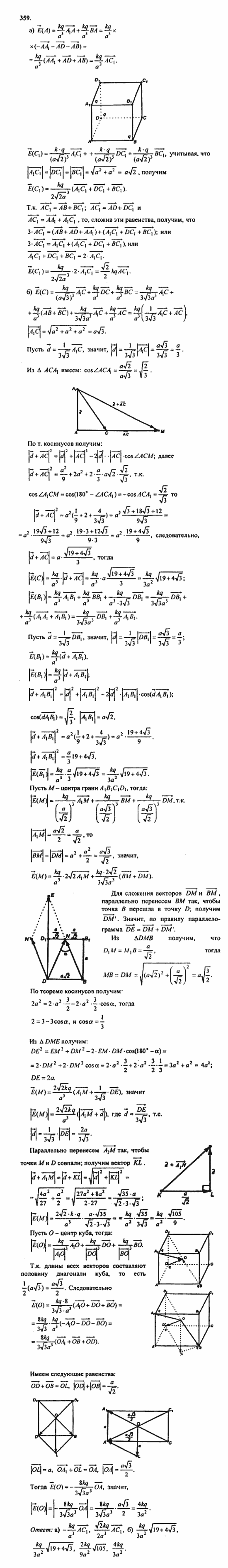
Главная / Готовые домашние задания (ГДЗ) / 10 класс / Геометрия / Атанасян / задачи и упражнения Задача: 359


Ответ на задачи и упражнения Задача: 359
Готовые домашние задания (ГДЗ) Геометрия Атанасян 10 класс

Геометрия, Атанасян, 2010

Геометрия

10 класс

Автор: Атанасян

Изд.: Просвещение

Год: 2010

<< Предыдущее Вернуться к списку Следующее >>
Геометрия, 10 класс, Атанасян, 2010, задачи и упражнения Задача: 359