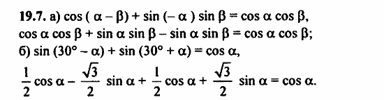
Главная / Готовые домашние задания (ГДЗ) / 10 класс / Алгебра / А.Г. Мордкович / Глава 4. Преобразование тригонометрических выражений, § 19 Синус и косинус суммы и разности аргументов Задание: 19.7


Ответ на Глава 4. Преобразование тригонометрических выражений, § 19 Синус и косинус суммы и разности аргументов Задание: 19.7
Готовые домашние задания (ГДЗ) Алгебра А.Г. Мордкович 10 класс

Задачник, А.Г. Мордкович, 2011 - 2015

Алгебра

10 класс

Задачник

Автор: А.Г. Мордкович

Изд.: Мнемозина

Год: 2011 - 2015

<< Предыдущее Вернуться к списку Следующее >>
Задачник, 10 класс, А.Г. Мордкович, 2011 - 2015, Глава 4. Преобразование тригонометрических выражений, § 19 Синус и косинус суммы и разности аргументов Задание: 19.7