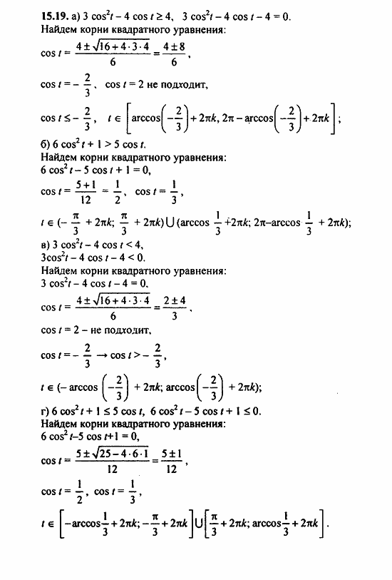
Главная / Готовые домашние задания (ГДЗ) / 10 класс / Алгебра / А.Г. Мордкович / Глава 3. Тригонометрические уравнения, § 15 Арккосинус. Решение уравнения cos t=a Задание: 15.19


Ответ на Глава 3. Тригонометрические уравнения, § 15 Арккосинус. Решение уравнения cos t=a Задание: 15.19
Готовые домашние задания (ГДЗ) Алгебра А.Г. Мордкович 10 класс

Задачник, А.Г. Мордкович, 2011 - 2015

Алгебра

10 класс

Задачник

Автор: А.Г. Мордкович

Изд.: Мнемозина

Год: 2011 - 2015

<< Предыдущее Вернуться к списку Следующее >>
Задачник, 10 класс, А.Г. Мордкович, 2011 - 2015, Глава 3. Тригонометрические уравнения, § 15 Арккосинус. Решение уравнения cos t=a Задание: 15.19