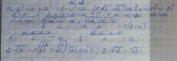
Главная / Готовые домашние задания (ГДЗ) / 10 класс / Алгебра / Мордкович / Номера Задание: 36.23


Ответ на Номера Задание: 36.23
Готовые домашние задания (ГДЗ) Алгебра Мордкович 10 класс

Алгебра, Мордкович, 2015

Алгебра

10 класс

Автор: Мордкович

Изд.: Мнемозина

Год: 2015

<< Предыдущее Вернуться к списку Следующее >>
Алгебра, 10 класс, Мордкович, 2015, Номера Задание: 36.23