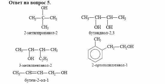
Главная / Готовые домашние задания (ГДЗ) / 10 класс / Химия / Габриелян, Лысова / § 17 Задача: 5


Ответ на § 17 Задача: 5
Готовые домашние задания (ГДЗ) Химия Габриелян, Лысова 10 класс

Химия, Габриелян, Лысова, 2002-2012

Химия

10 класс

Автор: Габриелян, Лысова

Изд.: Дрофа

Год: 2002-2012

<< Предыдущее Вернуться к списку Следующее >>
Химия, 10 класс, Габриелян, Лысова, 2002-2012, § 17 Задача: 5