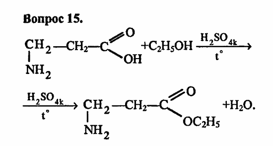
Главная / Готовые домашние задания (ГДЗ) / 10 класс / Химия / Цветков / § 41. Аминокислоты Задача: 15


Ответ на § 41. Аминокислоты Задача: 15
Готовые домашние задания (ГДЗ) Химия Цветков 10 класс

Химия, Цветков, 2008-2013

Химия

10 класс

Автор: Цветков

Изд.: Владос

Год: 2008-2013

<< Предыдущее Вернуться к списку Следующее >>
Химия, 10 класс, Цветков, 2008-2013, § 41. Аминокислоты Задача: 15