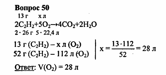
Главная / Готовые домашние задания (ГДЗ) / 10 класс / Химия / Цветков / § 16. Ацетилен и его гомологи Задача: 50


Ответ на § 16. Ацетилен и его гомологи Задача: 50
Готовые домашние задания (ГДЗ) Химия Цветков 10 класс

Химия, Цветков, 2008-2013

Химия

10 класс

Автор: Цветков

Изд.: Владос

Год: 2008-2013

<< Предыдущее Вернуться к списку Следующее >>
Химия, 10 класс, Цветков, 2008-2013, § 16. Ацетилен и его гомологи Задача: 50