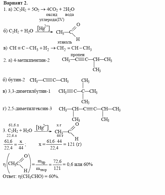
Главная / Готовые домашние задания (ГДЗ) / 10 класс / Химия / Радецкий, Горшкова / Тема III, Работа 4 Задача: 2


Ответ на Тема III, Работа 4 Задача: 2
Готовые домашние задания (ГДЗ) Химия Радецкий, Горшкова 10 класс

Дидактические материалы, Радецкий, Горшкова, 1999

Химия

10 класс

Дидактические материалы

Автор: Радецкий, Горшкова

Изд.: Просвещение

Год: 1999

<< Предыдущее Вернуться к списку Следующее >>
Дидактические материалы, 10 класс, Радецкий, Горшкова, 1999, Тема III, Работа 4 Задача: 2