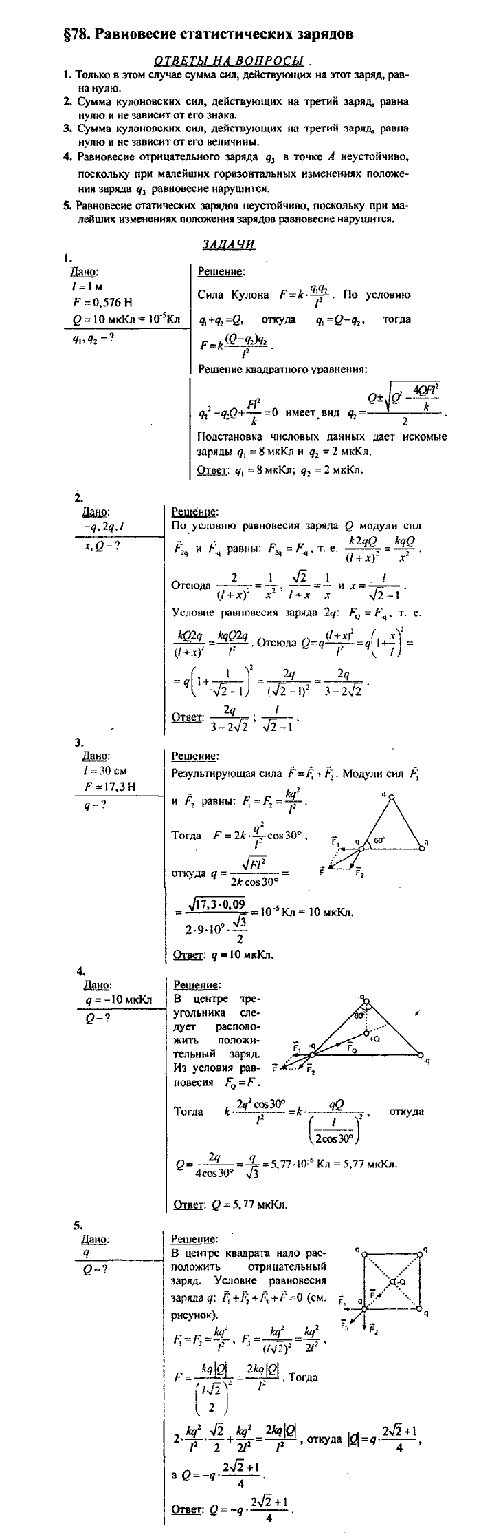
Главная / Готовые домашние задания (ГДЗ) / 10 класс / Физика / Касьянов / Выберите параграф Задача: §78


Ответ на Выберите параграф Задача: §78
Готовые домашние задания (ГДЗ) Физика Касьянов 10 класс

Физика, Касьянов, 2001 - 2011

Физика

10 класс

Автор: Касьянов

Изд.: Дрофа

Год: 2001 - 2011

<< Предыдущее Вернуться к списку Следующее >>
Физика, 10 класс, Касьянов, 2001 - 2011, Выберите параграф Задача: §78