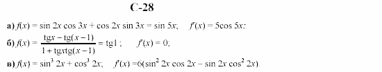
Главная / Готовые домашние задания (ГДЗ) / 10 класс / Алгебра / Ивлев, Саакян / Вариант 9 Задание: c28


Ответ на Вариант 9 Задание: c28
Готовые домашние задания (ГДЗ) Алгебра Ивлев, Саакян 10 класс

Дидактические материалы. Начала анализа, Ивлев, Саакян, 1999

Алгебра

10 класс

Дидактические материалы. Начала анализа

Автор: Ивлев, Саакян

Изд.: Просвещение

Год: 1999

<< Предыдущее Вернуться к списку Следующее >>
Дидактические материалы. Начала анализа, 10 класс, Ивлев, Саакян, 1999, Вариант 9 Задание: c28